Themia
Découvrez les derniers articles sur la jurimétrie
Étude exclusive Themia analysant 7 cours d'appel françaises. Découvrez comment votre juridiction influence vos indemnisations : jusqu'à 100% d'écart entre territoires.
Par Équipe Themia, Christophe Quézel-Ambrunaz
Découvrez comment maîtriser les deux approches fondamentales de l'évaluation des préjudices : le calcul mathématique des postes patrimoniaux et l'estimation des préjudices extrapatrimoniaux.
Découvrez comment la jurimétrie transforme la pratique juridique. Guide pratique pour avocats : méthodes, applications et ROI démontré en cabinet.
Par Christophe Quézel-Ambrunaz
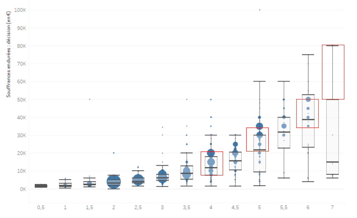
Étude jurimétrique exclusive sur l'indemnisation du dommage corporel. Découvrez les écarts réels entre le référentiel et les pratiques judiciaires.
Par Équipe Themia
Intelligence jurimétrique : recherches accélérées, analyses approfondies, décisions éclairées.
Mentions légales